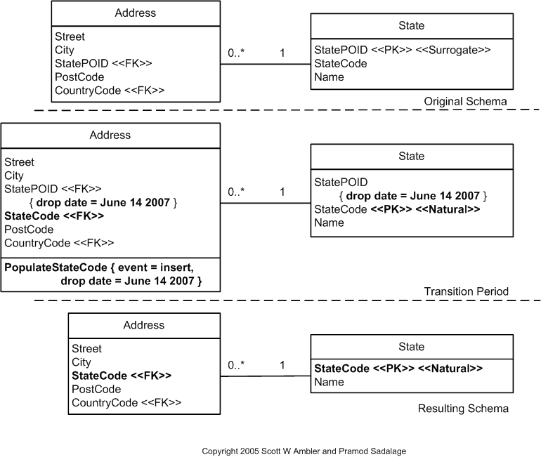
Replace Surrogate Key With Natural Key
Replace a surrogate key with an existing natural key.
Example
For more information see page 135 of Database Refactoring
Replace a surrogate key with an existing natural key.
For more information see page 135 of Database Refactoring